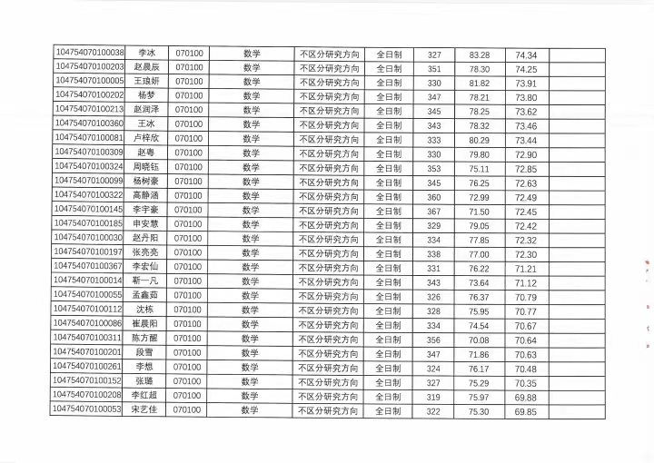
河南大学数学与统计学院2024年硕士研究生复试成绩登记册
上一条:河南大学数学与统计学院2024年硕士研究生招生调剂公告 下一条:数学与统计学院 2024年博士研究生招生(第二轮)工作实施细则
【关闭】